SES YOĞUNLUĞU

Ses Yoğunluğunun Belirgin Şekilde Tanımı

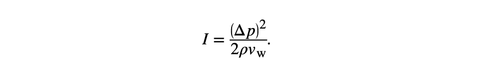
Yoğunluk, bir dalga tarafından taşınan birim alan başına düşen güç olarak tanımlanır. Güç, enerjinin dalga tarafından aktarılma hızıdır. Yoğunluk (I), I = P / A (i.1) 'dir, burada P, A bölgesinden geçen güçtür. I için SI birimi W / m ^ 2'dir. Bir ses dalgasının yoğunluğu, aşağıdaki ilişkinin karesi genişliğiyle ilişkilidir:

Burada Δp, paskal(Pa) veya N/m^2 birimlerindeki basınç değişimi veya basınç genliğidir. Hareket eden bir ses dalgası nedeniyle salınan bir hava elemanının enerjisi, genişliğinin karesi ile orantılıdır. Bu denklemde ρ, ses dalgasının kg / m ^ 3 birimleri cinsinden hareket ettiği malzemenin yoğunluğudur ve Vw ortamdaki ses hızı m / s birimidir. Basınç değişimi, salınımın genliği ile orantılıdır ve bu yüzden (Δp) ^ 2 olarak değişir. Bu ilişki, ses dalgasının bir miktar titreşimle üretildiğini kanıtlar; basınç genliği arttıkça, yarattığı sesde hava daha fazla sıkıştırılır.

Grafikler, farklı yoğunluklarda iki ses dalgası içinde basınç oluşturur. Daha yoğun ses, daha büyük genlikli salınımlara sahip ve daha fazla basınç maksimum ve minimum değerine sahip bir kaynak tarafından üretilir. Yüksek yoğunluklu seste basınçlar daha yüksek olduğu için, karşılaştığı nesneler üzerinde daha büyük kuvvetler uygulayabilir.

Desibel, bilimsel olarak ve popüler medyada tercih edilen birimdir. Bu birim seçiminin nedenleri sesleri nasıl algıladığımızla ilgilidir. Kulaklarımızın sesi nasıl algıladığı, doğrudan yoğunluğa değil, yoğunluğun logaritması tarafından daha doğru bir şekilde tanımlanabilmektedir. Metrekareye düşen watt cinsinden I yoğunluğuna sahip bir sesin desibel cinsinden ses yoğunluğu seviyesi β;

burada I0 = 10-12W/m^2 bir referans yoğunluğudur. Ses yoğunluğu seviyesi, yoğunluk ile aynı değildir. B, size sabit bir standarda göre ses seviyesini bildiren birimsiz bir miktrardır. Desibinin dayandığı bel, telefonun mucidi Alexander Graham Bell için adlandırılmıştır.

Eşik yoğunluğu 10-12 W/m^2 olan bir desibel seviyesi β = 0dB'dir. Yani, işitme eşiği 0 desibeldir. Yukarıdaki tablo, bazı sesler için desibel cinsinden düzeyler ve metre başına watt cinsinden yoğunlukları göstermektedir.

Bunu kullanarak;

Yoğunluktaki her "10 faktörünün" 10 dB'ye karşılık gelmesidir. Örneğin, 90 dB sese kıyasla 60 dB'lik bir ses 30 dB daha küçük veya yoğun yani 103 katıdır. Başka bir örnek verecek olursam bir sesin diğeri ile farkı 107 ise, 70 dB daha yüksektir.